来源:本站日期:2026-01-09
许多领域都要求监测颗粒污染程度,如:电子工业、制药业、精密仪器制造业、液冷行业以及医疗领域,液体颗粒计数器是监测液体中颗粒污染物的有效设备。

根据光与颗粒作用,液体颗粒计数器工作原理分为光阻法和光散射法两类,这两种方法各有其特点和检测范围,目前也有将这两种方法相结合的产品,来扩展颗粒计数器的检测范围。

光阻法液体颗粒计数器的检测范围从几微米到数百微米,它的测试过程是:待测液体流过横截面很小的流通池,流通池两侧装有光学玻璃,激光器的光束通过透镜组准直,穿过流通池并被光电探测器所接收。若待测液体中没有颗粒,则光电探测器接收到的光信号稳定不变,输出的电压信号也恒定,将此恒定信号作为基准电压;若液体中有颗粒物质,颗粒通过流通池传感区域,将会遮挡激光,光电探测器接收到的光信号减小,产生一个负的脉冲电信号。
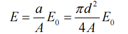
脉冲信号幅度与基准电压信号有如下关系:

其中,E为颗粒遮挡引起的脉冲幅度;a为颗粒的有效遮挡面积(等效为球形πd2/4);A为光电探测器的有效面积;E0是没有颗粒时的光电探测器所产生的基准电压。因此,脉冲信号幅度对应颗粒的大小,脉冲信号个数对应颗粒的数量。
直接测量:测量的是颗粒的“几何尺寸”(投影面积)。
对折射率不敏感:尤其适用于不透明、高吸光度或颜色深的颗粒(如金属磨损颗粒、碳粉、墨水颗粒等)。颗粒的光学性质(折射率)影响较小,主要取决于其物理遮挡面积。
粒径下限受限:受限于光源波长、光路准直性和信噪比。通常可测下限在1μm左右。
原理直观,结果稳定:测量与颗粒的物理尺寸直接相关,受光学属性变化影响小。
适合高浓度、不透明颗粒:是油液污染度分析(如液压油、航空燃油)、磨损监测领域的绝对主流和标准方法。
校准相对简单:可使用标准尺寸的乳胶球或经认证的粉尘进行校准。
对液体本身的洁净度要求相对较低(与光散射法相比)。
小尺寸检测限较高:难以检测亚微米级的微小颗粒(如<1μm)。
重合误差:当颗粒浓度过高,两个或多个颗粒同时通过检测区时,会被误判为一个大的颗粒,导致计数和尺寸失真。因此需要对高浓度样品进行稀释。
对气泡敏感:气泡与固体颗粒一样会产生遮挡信号,需要有效的脱气处理或信号识别技术来区分。

光散射法液体颗粒计数器一般用于检测纳米级及亚微米级颗粒,它的测试过程是:待测液体流过流通池,流通池两侧装有光学玻璃,激光器的光束通过透镜组准直,光束穿过流通池,照射在光陷阱上。若待测液体中没有颗粒,则光电探测器接收不到光信号,若液体中有颗粒,颗粒通过流通池,与激光光束发生散射现象。某一个(或几个)角度下的散射光通过透镜收集汇聚到光电探测器上,产生正的电信号脉冲,脉冲信号的幅度和散射光强成正比。根据信号的幅度和个数可以对液体中的微小颗粒进行计数检测。
间接测量:测量的是颗粒的“光学等效尺寸”,强烈依赖于颗粒和液体的折射率匹配关系。
超高灵敏度:能够检测到非常微弱的散射光信号,因此粒径下限极低,可达纳米级。
对透明/半透明颗粒敏感:非常适合检测液体中微小的胶体、蛋白质聚集体、细菌、硅溶胶等。
超高分辨率,可测粒径小:是检测亚微米和纳米颗粒的首选技术。
适合低浓度、透明样品:在电子级水、光刻胶、半导体、高端化学品、生物制剂等领域应用广泛。
受折射率影响极大:如果颗粒和液体的折射率非常接近(如某些聚合物微球在水中),散射光信号会变得极弱,导致颗粒“隐身”无法被检测或尺寸测量严重失真。
对液体本底洁净度要求极高:任何微小的本底颗粒都会产生信号,因此需要超净的试剂和环境。
校准和解释更复杂:需要准确知道颗粒和介质的折射率,对于非球形、混合成分的颗粒,尺寸解释存在不确定性。
不适用于不透明、深色液体:深色液体本身会吸收和散射大量入射光,导致信噪比急剧下降。
综上,根据液体颗粒计数器工作原理可知,以油液、磨损金属颗粒、不透明工业悬浮液为主,且主要关注>1μm颗粒首选光阻法。以电子级水、化学品中的微小颗粒、胶体、蛋白质聚集体为主,需检测亚微米甚至纳米颗粒 首选光散射法。